最近看到牛顿迭代法和二分法,现在用 python 实现一下
拿开方举例,转载自Python 编程实现二分法和牛顿迭代法求平方根代码
一、使用二分法实现开方#
假设求根号 5,二分法的基本思路是
a:折半: 5/2=2.5
b:平方校验: 2.5*2.5=6.25>5,并且得到当前上限2.5
c:再次向下折半:2.5/2=1.25
d:平方校验:1.25*1.25=1.5625<5,得到当前下限1.25
e:再次折半:2.5-(2.5-1.25)/2=1.875
f:平方校验:1.875*1.875=3.515625<5,得到当前下限1.875
每次得到当前值和 5 进行比较,并且记下下下限和上限,依次迭代,逐渐逼近平方根:
- 当结果校验超过原值,继续迭代
- 当结构校验低于原值,获得另一半,继续迭代
python 代码
import math
from math import sqrt
def sqrt_binary(num):
x = sqrt(num)
y = num/2.0
low = 0.0
up = num*1.0
count = 1
while abs(y-x)>0.000001:
print(count,y)
count += 1
if y*y>num :
up = y
y = low+(y-low)/2
else:
low = y
y = up-(up-y)/2
return y
二、使用牛顿迭代法实现开方#
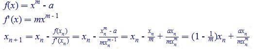
从函数意义上理解:我们是要求函数 f (x)=x²,使 f (x)=num 的近似解,即 x²-num=0 的近似解。
从几何意义上理解:我们是要求抛物线 g (x)=x²-num 与 x 轴交点(g (x)=0)最接近的点。
我们假设 g (x0)=0,即 x0 是正解,那么我们要做的就是让近似解 x 不断逼近 x0,这是函数导数的定义:

可以由此得到

从几何图形上看,因为导数是切线,通过不断迭代,导数与 x 轴的交点会不断逼近 x0。
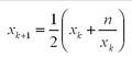
对于一般情况:

将 m=2 代入:

def sqrt_newton(num):
x=sqrt(num)
y=num/2.0
count=1
while abs(y-x)>0.00000001:
print count,y
count+=1
y=((y*1.0)+(1.0*num)/y)/2.0000
return y
print(sqrt_newton(5))
print(sqrt(5))
三、利用牛顿迭代法实现立方#
def cube_newton(num):
x=num/3.0
y=0
count=1
while abs(x-y)>0.00000001:
print count,x
count+=1
y=x
x=(2.0/3.0)*x+(num*1.0)/(x*x*3.0)
return x
print(cube_newton(27))